欢迎来到常州市科文传感器材有限公司官网!
1 零功率电阻值
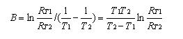
2 β值

3 耗散系数
在规定的环境温度下,热敏电阻器耗散功率变化与其相应温度变化之比,即:
4 热时间常数
在零功率条件下,当温度发生突变时,热敏电阻体温度变化了始末两个温度差的63.2%所需的时间。τ与热敏电阻器的热容量C成正比,与其耗散系数δ成反比,即:

6 常用传感器阻温特性表

电话:0519 - 83906992 E-mail:info@cn-kewen.com 地址:江苏省常州市钟楼开发区星港路65-24号
扫一扫